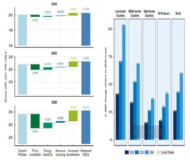
통계하이라이트: 기후 정책의 경제적 효과 시나리오 분석 결과

* 출처: OECD/UNDP (2025), Investing in Climate for Growth and Development: The Case for Enhanced NDCs, OECD Publishing, Paris, https://doi.org/10.1787/16b7cbc7-en
(*OECD 보고서의 링크 주소가 변경된 경우, www.oecd-ilibrary.org 에서 확인하시면 됩니다.)
